摆线针轮减速机

    三片摆线轮针摆传动减速机摆线轮强度计算

    发表日期:

    卧式摆线针轮减速机

    摘要:采用了三片偏心方向相距120°摆线轮新型传动结构的三片摆线轮针摆传动减速机,可增加转臂轴承的尺寸,也使该减速机传递的功率比同种机型两片摆线减速机传递功率增大。文中主要是利用解析法对三片摆线减速机的受力进行分析,再利用力学计算结果对三片摆线轮针摆传动减速机齿轮强度进行计算。并与同种机型两片轮摆线减速机的摆线轮受力进行比较。

    1 三片摆线轮针摆传动原理
    在传统的两片摆线轮针摆传动减速机结构中[1,2],采用两片相同的摆线轮以偏心相差180°布置,这种结构的转臂轴承受力大,且其内外圈相对转速高于输入轴的转速,使得摆线轮与双偏心套之间的转臂轴承成为整个结构的最薄弱环节。另一方面,转臂轴承的尺寸受输出结构大小的影响,而同类机型转臂轴承的尺寸不能增加,使减速机传递的功率受到限制。文中研究采用三片偏心方向相距120°的摆线轮的新型传动结构,以克服转臂轴承的上述缺陷,如图1所示。这样在其它基本尺寸不变的情况下,通过对传统结构进行修形量优化和参数优化,使轴向尺寸增加一片摆线轮的宽度,经过对两种机型计算比较,三片摆线轮减速机可使传递转矩增加50%左右,从而实现小机型大容量的目标。三片摆线轮结构适用于速比较大的场合,常用的大传动比分别为i=29,59,89,119共4种。

    三片摆线轮新型传动属于K-H-V行星齿轮传动,摆线轮与针齿在理论上相差1。采用的是短幅外摆线等距曲线的齿廓与圆柱型针齿啮合。

    新型针摆传动适用范围:新型针摆传动由于采用偏心相距120°均布的摆线轮新结构,为使受力更加均衡对称,生产制造简单,其传动比i应选取在一定范围内,以保证在120°范围内针齿数为整数。即令:
    摆线减速机
    在通常情况下,传动比一般取为奇数,所以令k=2n,即:i=6n -1(n为自然数),则可取为11,17,23,29,35,41,47,53,59,65,71,77,83,89,95,101,107,113,119。为使针齿便于分度,最后取得传动比为11,17,23,29,35,59,71,89,119。值得注意的是,两片摆线轮传统结构常用的传动比系列中的43,87不在上述传动比中。

    这样,在进行受力分析时,对于每片摆线轮来说其相对起始、终止位置都相同,在每片摆线轮上,同序号的针齿与起始位置的夹角也相同,而且在制造时分度也简便。
     
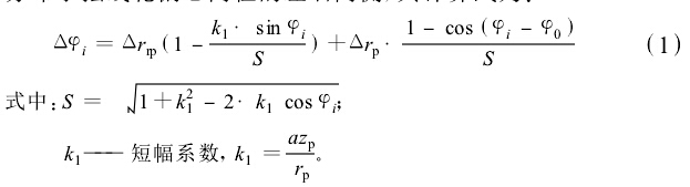
    2 初始啮合间隙
    标准的摆线轮及只经过转角修形的摆线轮与标准的针轮啮合,理论上都可达到同时啮合的齿数约为摆线轮齿数的一半,但摆线轮齿形只要经过等距、移距或等距加移距修形,如果不考虑零件弹性变形的补偿作用,则多齿同时啮合的条件便不存在,而变为当某一个摆线轮齿与针轮接触时,其余的摆线轮齿与针齿间存在着大小各不相同的初始间隙,第i对轮齿沿待啮合点(待啮合点是指齿形未修形前本应啮合,但由于齿形修形产生初始间隙而未啮合的点)法线方向的初始间隙Δφi对称分布于摆线轮偏心向径的左右两侧,其计算式为:
    摆线减速机计算公式


版权所有 © 2016 江苏泰强减速机有限公司 
热线:400-6116-258   传真:0510-68939922
邮箱:28344966@qq.com    苏ICP备13061357号-11
本站关键词:摆线针轮减速机 摆线减速机 圆柱齿轮减速机 齿轮减速机 齿轮减速电机 减速电机